Seite 1 von 1
Mehrzeilige geschweifte Klammer in Align
Verfasst: Mo 29. Mär 2021, 13:00
von Noah Daniel
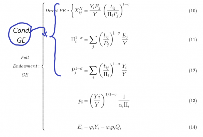
Das folgende Minimalbeispiel sollte optimalerweise das unten dargestellte Gleichungssystem erzeugen, wobei die Nummerierung natürlich abweicht. Wie im Bild angemerkt, würde ich gerne eine weitere geschweifte Klammer mit Text einfügen, habe jedoch sowohl mit numcases als auch raisebox noch nicht das gewünschte Ergebnis erzielen können. Ich freue mich dementsprechend sehr über weitere Vorschläge!
\documentclass{report}
\usepackage{amsmath, amsfonts, amssymb}
\usepackage{relsize}
\usepackage[usestackEOL]{stackengine}
\usepackage{empheq}
\begin{document}
\begin{empheq}[left=\hskip -3.5cm\Centerstack{\em Full \\ \em Endowment \\ \em GE}: \empheqlbrace]{align}
\textit{Direct}\,\, \mathit{PE}: \Biggl\{ \mathlarger{X_{ij}^N} &= \mathlarger{\frac{Y_iE_j}{Y}\left(\frac{t_{ij}}{\Pi_iP_j}\right)^{\mkern-5mu 1-\sigma}} \label{eq:AvW2GE}\\
\nonumber \\
\mathlarger{\Pi_i^{1-\sigma}} &= \mathlarger{\sum_j \left(\frac{t_{ij}}{P_j}\right)^{\mkern-5mu 1-\sigma} \frac{E_j}{Y}} \label{eq:AvW2GE}\\
\nonumber\\
\mathlarger{P_j^{1-\sigma}} &= \mathlarger{\sum_i \left(\frac{t_{ij}}{\Pi_i}\right)^{\mkern-5mu 1-\sigma} \frac{Y_i}{Y}} \label{eq:AvW3GE} \\
\nonumber\\
\mathlarger{p_i} &= \mathlarger{\left(\frac{Yi}{Y}\right)^{1/1-\sigma} \frac{1}{\alpha_i \Pi_i}} \label{eq:AvW4GE} \\
\nonumber\\
\mathlarger{E_i} &= \mathlarger{\varphi_i Y_i} = \mathlarger{\varphi_i p_i Q_i} \label{eq:AvW5GE}
\end{empheq}
\end{document}

Mit den besten Grüßen,
Noah
P.S.: Ist es normal, dass im Code "^" und "_" plötzlich zu "*" werden, wenn ich den Post absende?
Re: Mehrzeilige geschweifte Klammer in Align
Verfasst: Mo 29. Mär 2021, 14:30
von Stefan Kottwitz
Hallo Noah,
das mit ^ und _ schaue ich mir an, das ist Markdown-Formatierungs-Syntax, die evtl. unerwartet greift.
Das kann man durch einen Haken unter dem Post abstellen (ich mach mal oben). Ich schaue mir das aber heute generell an.
Stefan
Re: Mehrzeilige geschweifte Klammer in Align
Verfasst: Di 30. Mär 2021, 13:37
von Noah Daniel
Okay, danke schonmal, Stefan!
Re: Mehrzeilige geschweifte Klammer in Align
Verfasst: Di 30. Mär 2021, 13:44
von Stefan Kottwitz
Mit TikZ geht sowas auch immer
ich kann vllt. was hier posten wenn ich mit der normalen Arbeit durch bin.
Stefan
Re: Mehrzeilige geschweifte Klammer in Align
Verfasst: Di 30. Mär 2021, 16:51
von Noah Daniel
Hallo Stefan, daran hatte ich auch schon gedacht, habe TikZ allerdings noch nie ausprobiert. Falls du nach deiner Arbeit die Zeit finden solltest, wäre ich dir sehr verbunden!
Gruß,
Noah
Re: Mehrzeilige geschweifte Klammer in Align
Verfasst: Di 30. Mär 2021, 18:37
von Bartman
Ich habe mir erlaubt, die Anordnung der Klammern etwas zu verschieben, um die Überschneidung mit der Beschriftung der oberen Klammer zu vermeiden. Natürlich lässt sich die Klammer mit TikZ auch so einfügen, wie es die Abbildung zeigt.
\documentclass{report}
\usepackage{mathtools}% lädt amsmath
\usepackage{amssymb}% lädt amsfonts
\usepackage{relsize}
\usepackage[usestackEOL]{stackengine}
\usepackage{empheq}
\usepackage{tikz}
\usepackage{showframe}
\usetikzlibrary{decorations.pathreplacing,tikzmark}
\begin{document}
\begin{empheq}[left=\hspace{-1cm}\Centerstack{\emph{Full}\\\emph{Endowment}\\\emph{GE}}: \empheqlbrace]{align}
\hspace{1.6cm}\tikzmarknode{upper left}{\textit{Direct}}\,\,\mathit{PE}:
\Biggl\{ \mathlarger{X{ij}N} &= \mathlarger{\tikzmarknode{upper right}{\frac{Y_iE_j}{Y}} \left(\frac{t{ij}}{\Pi_iP_j}\right)^{\mkern-5mu 1-\sigma}} \label{eq:AvW2GE}\\
\nonumber \\
\mathlarger{\Pi_i^{1-\sigma}} &= \mathlarger{\sum_j \left(\frac{t{ij}}{P_j}\right)^{\mkern-5mu 1-\sigma} \frac{E_j}{Y}} \label{eq:AvW2GE}\\
\nonumber\\
\mathlarger{P_j^{1-\sigma}} &= \mathlarger{\tikzmarknode{lower}{\sum_i} \left(\frac{t{ij}}{\Pi_i}\right)^{\mkern-5mu 1-\sigma} \frac{Y_i}{Y}} \label{eq:AvW3GE} \\
\nonumber\\
\mathlarger{p_i} &= \mathlarger{\left(\frac{Yi}{Y}\right)^{1/1-\sigma} \frac{1}{\alpha_i \Pi_i}} \label{eq:AvW4GE} \\
\nonumber\\
\mathlarger{E_i} &= \mathlarger{\varphi_i Y_i} = \mathlarger{\varphi_i p_i Q_i} \label{eq:AvW5GE}
\end{empheq}
\begin{tikzpicture}[overlay, remember picture]
\draw [
decorate,
decoration={brace, mirror, amplitude=5pt},
very thick,
transform canvas={xshift=-2pt}
]
(upper left.west|-upper right.north) --
node [font=\sffamily\itshape\large, align=center, left=8pt] {Cond.\\GE}
(upper left.west|-lower.south)
;
\end{tikzpicture}
\end{document}
Re: Mehrzeilige geschweifte Klammer in Align
Verfasst: Mi 31. Mär 2021, 11:37
von Noah Daniel
Hallo Bartman,
vielen Dank für deinen Vorschlag. Das sieht schon wirklich super aus!
Wäre es noch möglich, an der Spitze der geschweiften Klammer einen nicht-kursiven Doppelpunkt einzufügen, sodass die Beschriftung genau wie bei den anderen beiden Klammern erscheint?
Gruß,
Noah
EDIT: Das gewünschte Ergebnis kann wie folgt gelöst werden:
[...]
(upper left.west|-upper right.north) --
node [font=\sffamily\large, align=center, left=5pt] {\Centerstack{\emph{Cond.}\\ \emph{GE}}:}
(upper left.west|-lower.south)
[...]