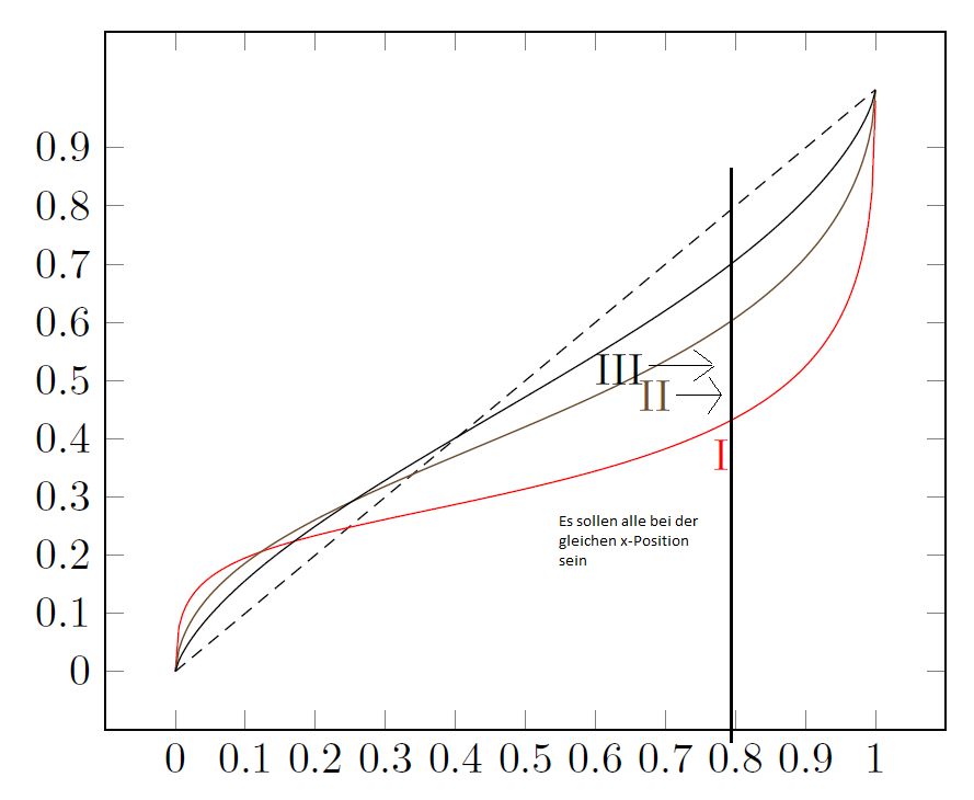
folgende Frage beschäftigt mich. Ich habe eine Funktion, bei der ich die Auswirkungen unterschiedlicher Parameter zeigen möchte. Also plotte ich die Funktion in pgfplots mit jeweils unterschiedlichen Einstellungen. Jetzt möchte ich die drei Varianten mit I, II und III beschriften. Dazu benutze ich die Einstellung pos=<Wert>. So wie ich das verstehe, berechnet TikZ intern die Länge vom Plot und setzt den Node dann an die entsprechende Stelle. Ich würde aber gerne, dass die Nodes in Abhängigkeit vom Abzissenwert (x-Achse) gesetzt werden. Denn das Problem ist, dass Funktionen, die stärker oszillieren, von TikZ eine größere Länge bekommen. Daher bedeutet pos=<Wert> für jeden Plot etwas anderes. Im Prinzip suche ich so etwas wie "x pos=<Wert>". Hat jemand mein Problem verstanden und kann mir helfen? Hier ein MWE:
\documentclass[border=1cm]{standalone}
\usepackage{tikz,pgfplots}
\pgfplotsset{compat=newest}
\begin{document}
\begin{tikzpicture}
\begin{axis}[
domain=0:1,
samples=200,
xtick={0,0.1,...,1.01}, %Zusatzfrage
ytick={0,0.1,...,1},
no marks,
]
\addplot [densely dashed] {x};
\addplot {(x^.45)/(x^.45+(1-x)^.45)^(1/.45))} node [pos=.6,below] {I};
\addplot {(x^.61)/(x^.61+(1-x)^.61)^(1/.61))} node [pos=.6,below] {II};
\addplot {(x^.75)/(x^.75+(1-x)^.75)^(1/.75))} node [pos=.6,below] {III};
\end{axis}
\end{tikzpicture}
\end{document}



