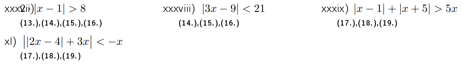
ich bin auf der Suche nach einer Funktion, mit der ich den Abstand zwischen einem Aufzählungszeichen konstant halten kann. Bisher tritt bei Aufzählungen mit römischen Zahlen folgendes Problem auf, wenn die römischen Zahlen etwas größer sind.
Oben links passiert, wenn ich nichts mache. Bei den anderen Aufzählungen habe ich manuell mit \quad und \: ausgerückt. Das ist dann aber alles uneinheitlich und viel Aufwand. Ich möchte, dass ab dem Ende der runden Klammer automatisch ein konstanter Abstand bis zum Beginn des Betrages eingehalten wird.
Hier einmal ein Minimalbeispiel, bei dem das Problem auch sofort auftritt:
\documentclass[a4,11pt]{article}
\usepackage{enumitem}
\usepackage{tasks}
\NewTasksEnvironment[item-indent=16pt, label = \alph*)]{alphtask} %Erste Ebene: Buchstaben
\NewTasksEnvironment[item-indent=1.5em, label = \roman*)]{romantask} %Zweite Ebene: Römische Zahlen
\begin{document}
Dies ist ein Test.
\begin{romantask}
\task 1
\task 1
\task[xviii)] 1
\end{romantask}
\end{document}

