von Powerhansi » Sa 23. Mär 2019, 06:59
Hi zusammen,
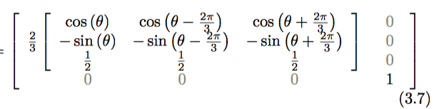
ich habe ein Problem mit einer Matrix die ich erstellt habe.
Die Elemente der letzten Zeile sind einfach nicht mit den anderen ausgerichtet.
Im Anhang habt ihr ein Minimalbeispiel und so wie es aussehen soll.
Ich hoffe mir kann jemand helfen.
Vielen Dank
Viele Grüße Johannes
\documentclass{scrreprt}
\usepackage{amssymb,amsmath}
\begin{document}
\begin{equation}\label{eq:Transformationsvorschriftabc_dq0f}
\begin{bmatrix} i_{d} \\ i_{q}\\ i_{0} \\ i_{f} \end{bmatrix}
=
\begin{bmatrix}
\frac{2}{3}
\begin{bmatrix}
cos(\beta_L) & cos(\beta_L-\frac{2\pi}{3})& cos(\beta_L-\frac{4\pi}{3})\\
-sin(\beta_L) & -sin(\beta_L-\frac{2\pi}{3})& -sin(\beta_L-\frac{4\pi}{3})\\
\frac{1}{2}& \frac{1}{2}& \frac{1}{2}
\end{bmatrix} & \begin{matrix}0\\0\\0\end{matrix}\\
\begin{matrix}
0& 0&0
\end{matrix} & 1
\end{bmatrix}
=
\begin{bmatrix} i_{U} \\ i_{V}\\i_{W}\\i_f \end{bmatrix}
\end{equation}
\end{document}

- Dateianhänge
-

- Matrix.png (22.92 KiB) 3059 mal betrachtet
Hi zusammen,
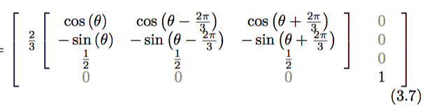
ich habe ein Problem mit einer Matrix die ich erstellt habe.
Die Elemente der letzten Zeile sind einfach nicht mit den anderen ausgerichtet.
Im Anhang habt ihr ein Minimalbeispiel und so wie es aussehen soll.
Ich hoffe mir kann jemand helfen.
Vielen Dank
Viele Grüße Johannes
[code]
\documentclass{scrreprt}
\usepackage{amssymb,amsmath}
\begin{document}
\begin{equation}\label{eq:Transformationsvorschriftabc_dq0f}
\begin{bmatrix} i_{d} \\ i_{q}\\ i_{0} \\ i_{f} \end{bmatrix}
=
\begin{bmatrix}
\frac{2}{3}
\begin{bmatrix}
cos(\beta_L) & cos(\beta_L-\frac{2\pi}{3})& cos(\beta_L-\frac{4\pi}{3})\\
-sin(\beta_L) & -sin(\beta_L-\frac{2\pi}{3})& -sin(\beta_L-\frac{4\pi}{3})\\
\frac{1}{2}& \frac{1}{2}& \frac{1}{2}
\end{bmatrix} & \begin{matrix}0\\0\\0\end{matrix}\\
\begin{matrix}
0& 0&0
\end{matrix} & 1
\end{bmatrix}
=
\begin{bmatrix} i_{U} \\ i_{V}\\i_{W}\\i_f \end{bmatrix}
\end{equation}
\end{document}
[/code] :) :) :) :) :)