von der.mueeller » Di 4. Jul 2017, 19:25
Hallo,
ich hoffe mir kann jemand helfen, ich versuche eine Gleichung über mehrere Zeilen linksbündig zu halten, während einige Zeilen in eine geschweifte Klammer eingefasst sind.
\documentclass[]{scrreprt}
\usepackage{amsmath}
\begin{document}
\begin{flalign}
\begin{split}
PMV = [0,303*e^{-0,036M} +0,028] & \\
\left\{
\begin{array}{l l}
[(M-W)-3,05*10^{-3}\{ 5733-6,99(M-W)-p_a \} & \\
-0,42 \{ (M-W)-58,15 \}-1,7*10^{-5}M(5867-p_a)-0,0014\; M (34-t_a)\; & \\
- \;3,96*10^{-8}f_{cl}\{ (t_{cl}+273)^4 - (\bar t_{r}+273)^4 \}-f_{cl}*h_c(t_{cl}-t_{a}) ] & \\
\end{array}
\right\}
\end{split}
\end{flalign}
\end{document}
hoffentlich ist das als Minimalbeispiel so funktionsfähig.
Mit besten Grüßen
Steven
- Dateianhänge
-

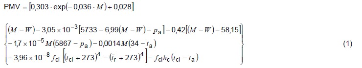
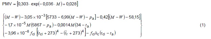
- Beispiel.jpeg (24.98 KiB) 2972 mal betrachtet
Hallo,
ich hoffe mir kann jemand helfen, ich versuche eine Gleichung über mehrere Zeilen linksbündig zu halten, während einige Zeilen in eine geschweifte Klammer eingefasst sind.
[code]
\documentclass[]{scrreprt}
\usepackage{amsmath}
\begin{document}
\begin{flalign}
\begin{split}
PMV = [0,303*e^{-0,036M} +0,028] & \\
\left\{
\begin{array}{l l}
[(M-W)-3,05*10^{-3}\{ 5733-6,99(M-W)-p_a \} & \\
-0,42 \{ (M-W)-58,15 \}-1,7*10^{-5}M(5867-p_a)-0,0014\; M (34-t_a)\; & \\
- \;3,96*10^{-8}f_{cl}\{ (t_{cl}+273)^4 - (\bar t_{r}+273)^4 \}-f_{cl}*h_c(t_{cl}-t_{a}) ] & \\
\end{array}
\right\}
\end{split}
\end{flalign}
\end{document}
[/code]
hoffentlich ist das als Minimalbeispiel so funktionsfähig.
Mit besten Grüßen
Steven