von Bananarama » Do 19. Nov 2015, 22:53
Hallo,
ich habe folgendes Problem:
Ich möchte ein spezielles Sonderzeichen aus dem stix-Paket (\laplac) verwenden. Nun habe ich naiver Weise angenommen ich könnte einfach das Paket einbinden und den Befehl verwenden.... leider ändert sich nun auch die Schriftart, Summenzeichen, etc.
Hier mein Minimalbeispiel:
\documentclass{article}
\usepackage[applemac]{inputenc}
\usepackage[ngerman]{babel}
\usepackage[T1]{fontenc}
\usepackage{amsmath,amssymb,amsthm,amsfonts}
%\usepackage{stix}
\begin{document}
\begin{align}
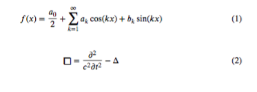
f(x)=\frac{a_0}{2} + \sum_{k=1}^{\infty} a_k\cos(kx) + b_k\sin(kx)
\end{align}
%\begin{align}
% \laplac=\frac{\partial^2}{c^2\partial t^2} -\Delta
%\end{align}
\end{document}
Was kann ich nun tun um dieses Symbol, bzw. generell einzelne Symbole aus dem stix-Paket, zu verwenden?
- Dateianhänge
-

- nachher.png (19.44 KiB) 2740 mal betrachtet
-

- vorher.png (15.78 KiB) 2741 mal betrachtet
Hallo,
ich habe folgendes Problem:
Ich möchte ein spezielles Sonderzeichen aus dem stix-Paket (\laplac) verwenden. Nun habe ich naiver Weise angenommen ich könnte einfach das Paket einbinden und den Befehl verwenden.... leider ändert sich nun auch die Schriftart, Summenzeichen, etc.
Hier mein Minimalbeispiel:
[code]\documentclass{article}
\usepackage[applemac]{inputenc}
\usepackage[ngerman]{babel}
\usepackage[T1]{fontenc}
\usepackage{amsmath,amssymb,amsthm,amsfonts}
%\usepackage{stix}
\begin{document}
\begin{align}
f(x)=\frac{a_0}{2} + \sum_{k=1}^{\infty} a_k\cos(kx) + b_k\sin(kx)
\end{align}
%\begin{align}
% \laplac=\frac{\partial^2}{c^2\partial t^2} -\Delta
%\end{align}
\end{document}[/code]
Was kann ich nun tun um dieses Symbol, bzw. generell einzelne Symbole aus dem stix-Paket, zu verwenden?