von esdd » Di 14. Apr 2015, 14:21
Zunächst: Verwende statt eqnarray die align Umgebung aus dem amsmath Paket, siehe auch [d]l2tabu[/d].
Zum Einrahmen eines ganzen Formelblocks könntest Du
empheq nutzen. Wenn Du nur eine Formel innerhalb einer align Umgebung einrahmen möchtest, wäre die Verwendung des Paketes
hf-tikz eine Möglichkeit:
\documentclass[12pt]{scrreprt}
\usepackage[fleqn]{amsmath}
\usepackage{amssymb}
\usepackage[norndcorners,customcolors,nofill]{hf-tikz}
\hfsetbordercolor{gray}
\begin{document}
\begin{align*}
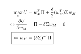
\max_{w} U & =w^{T}_{M}\Pi+\frac{\delta}{2}(w^{T}_{M})\Sigma w_{M}\\
\Leftrightarrow \frac{\partial U}{\partial w_{M}} & =\Pi-\delta \Sigma w_{M}=0\\[.5\baselineskip]
\tikzmarkin{wM}(0.15,-0.4)(-0.05,0.6)\Leftrightarrow w_{M} & = (\delta\Sigma)^{-1}\Pi\tikzmarkend{wM}
\end{align*}
\end{document}
Ergebnis nach zwei Durchläufen:
Gruß
Elke
- Dateianhänge
-

- gl_gerahmgl.png (6.69 KiB) 2264 mal betrachtet
Zunächst: Verwende statt [tt]eqnarray[/tt] die [tt]align[/tt] Umgebung aus dem [tt]amsmath[/tt] Paket, siehe auch [d]l2tabu[/d].
Zum Einrahmen eines ganzen Formelblocks könntest Du [p]empheq[/p] nutzen. Wenn Du nur eine Formel innerhalb einer [tt]align[/tt] Umgebung einrahmen möchtest, wäre die Verwendung des Paketes [p]hf-tikz[/p] eine Möglichkeit:
[code]\documentclass[12pt]{scrreprt}
\usepackage[fleqn]{amsmath}
\usepackage{amssymb}
\usepackage[norndcorners,customcolors,nofill]{hf-tikz}
\hfsetbordercolor{gray}
\begin{document}
\begin{align*}
\max_{w} U & =w^{T}_{M}\Pi+\frac{\delta}{2}(w^{T}_{M})\Sigma w_{M}\\
\Leftrightarrow \frac{\partial U}{\partial w_{M}} & =\Pi-\delta \Sigma w_{M}=0\\[.5\baselineskip]
\tikzmarkin{wM}(0.15,-0.4)(-0.05,0.6)\Leftrightarrow w_{M} & = (\delta\Sigma)^{-1}\Pi\tikzmarkend{wM}
\end{align*}
\end{document}[/code]
Ergebnis nach zwei Durchläufen:
[img]http://golatex.de/files/gl_gerahmgl_117.png[/img]
Gruß
Elke