von Tambo » Do 19. Apr 2012, 11:24
Hallo ihr,
ich habe eine Formel in Zustandsraumdarstellung, das heißt mehrere unterschiedlich hohe Vektoren, Matrizen und Skalare in einer Zeile. Nun habe ich mit dem Befehl
\begin{tabular}{c}
\underbrace{} \\ bla bla
\end{tabular}
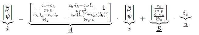
die Formel mit geschweiften Klammern versehen, unter die ich nun Text schreiben möchte. Dieser ist leider dann aber nicht vertikal ausgerichtet, da die Klammern unterschiedlich positioniert sind, siehe Anhang und Code:
\begin{equation}
\begin{tabular}{c} \underbrace{\begin{bmatrix} \dot{\beta}\\ \ddot{\psi} \end{bmatrix}} \\ \underline {\dot{x}} \end{tabular} = \begin{tabular}{c} \underbrace{\begin{bmatrix} - \frac{c_v + c_h}{m \cdot v} & \frac{c_h \cdot l_h - c_v \cdot l_v}{m \cdot v^2} -1 \\ \frac{c_h \cdot l_h - c_v \cdot l_v}{\Theta_z} & - \frac{c_v \cdot (l_v)^2 + c_h \cdot (l_h)^2}{\Theta_z \cdot v} \end{bmatrix}}\\ A \end{tabular} \cdot \begin{tabular}{c} \underbrace{\begin{bmatrix} \beta\\ \dot{\psi} \end{bmatrix}} \\ x \end{tabular} +\begin{tabular}{c} \underbrace{\begin{bmatrix} \frac{c_v}{m \cdot v} \\ \frac{c_v \cdot l_v}{\Theta_z} \end{bmatrix}} \\ b \end{tabular} \cdot \begin{tabular}{c} \underbrace{\delta_v} \\ u \end{tabular}
\label{eq:Zstdsr}
\end{equation}
Kann ich erzwingen, dass die Klammern immer an der gleichen vertikalen Stelle sind, damit der Text horizontal bündig ist? Ich müsste sogesehen den vertikalen Offset von Formel und Klammer variabel von der lokalen Formelhöhe gestalten. Habt ihr einen Tipp? Wichtig wäre auch, dass die Operanten wieder in der Formel vertikal mittig sind, wie es der Fall ohne geschweifte Klammern ist.
Danke und viele Grüße,
Andi
- Dateianhänge
-

- Zstdsgl..JPG (20.34 KiB) 1863 mal betrachtet
Hallo ihr,
ich habe eine Formel in Zustandsraumdarstellung, das heißt mehrere unterschiedlich hohe Vektoren, Matrizen und Skalare in einer Zeile. Nun habe ich mit dem Befehl
[code]
\begin{tabular}{c}
\underbrace{} \\ bla bla
\end{tabular}
[/code]
die Formel mit geschweiften Klammern versehen, unter die ich nun Text schreiben möchte. Dieser ist leider dann aber nicht vertikal ausgerichtet, da die Klammern unterschiedlich positioniert sind, siehe Anhang und Code:
[code]
\begin{equation}
\begin{tabular}{c} \underbrace{\begin{bmatrix} \dot{\beta}\\ \ddot{\psi} \end{bmatrix}} \\ \underline {\dot{x}} \end{tabular} = \begin{tabular}{c} \underbrace{\begin{bmatrix} - \frac{c_v + c_h}{m \cdot v} & \frac{c_h \cdot l_h - c_v \cdot l_v}{m \cdot v^2} -1 \\ \frac{c_h \cdot l_h - c_v \cdot l_v}{\Theta_z} & - \frac{c_v \cdot (l_v)^2 + c_h \cdot (l_h)^2}{\Theta_z \cdot v} \end{bmatrix}}\\ A \end{tabular} \cdot \begin{tabular}{c} \underbrace{\begin{bmatrix} \beta\\ \dot{\psi} \end{bmatrix}} \\ x \end{tabular} +\begin{tabular}{c} \underbrace{\begin{bmatrix} \frac{c_v}{m \cdot v} \\ \frac{c_v \cdot l_v}{\Theta_z} \end{bmatrix}} \\ b \end{tabular} \cdot \begin{tabular}{c} \underbrace{\delta_v} \\ u \end{tabular}
\label{eq:Zstdsr}
\end{equation}
[/code]
Kann ich erzwingen, dass die Klammern immer an der gleichen vertikalen Stelle sind, damit der Text horizontal bündig ist? Ich müsste sogesehen den vertikalen Offset von Formel und Klammer variabel von der lokalen Formelhöhe gestalten. Habt ihr einen Tipp? Wichtig wäre auch, dass die Operanten wieder in der Formel vertikal mittig sind, wie es der Fall ohne geschweifte Klammern ist.
Danke und viele Grüße,
Andi