Text unter mehrere geschweifte Klammern vertikal ausrichten

Antwort erstellen


Diese Frage dient dazu, das automatisierte Versenden von Formularen durch Spam-Bots zu verhindern.
Smilies
:D :) :( :o :shock: :? 8) :lol: :-x :P :oops: :cry: :evil: :twisted: :roll: :wink: :!: :?: :idea: :arrow: :| :mrgreen:

BBCode ist eingeschaltet
[img] ist eingeschaltet
[flash] ist ausgeschaltet
[url] ist eingeschaltet
Smilies sind eingeschaltet

Die letzten Beiträge des Themas

Ich habe die Datenschutzerklärung gelesen und bin damit einverstanden.

   

Wenn du eine Datei oder mehrere Dateien anhängen möchtest, gib die Details unten ein.

Ansicht erweitern Die letzten Beiträge des Themas: Text unter mehrere geschweifte Klammern vertikal ausrichten

Schummeln erlaubt

von localghost » Do 19. Apr 2012, 21:05

Von Zeit zu Zeit muss man ein bisschen tricksen.
\documentclass[11pt,a4paper]{article}
\usepackage[T1]{fontenc}
\usepackage{selinput}
\SelectInputMappings{
  adieresis={ä},
  germandbls={ß},
  Euro={€}
}
\usepackage{mathtools}

\begin{document}
  \begin{equation}
    \underbrace{
      \begin{bmatrix}
        \dot{\beta} \\[\jot] \ddot{\psi}
      \end{bmatrix}
      }_{\underline{\dot{x}}}
    =
    \underbrace{
      \begin{bmatrix}
        -\frac{c_v+c_h}{m\cdot v} & \frac{c_h\cdot l_h-c_v\cdot l_v}{m\cdot v^2}-1 \\[\jot]
        \frac{c_h\cdot l_h-c_v\cdot l_v}{\Theta_z} & -\frac{c_v\cdot l_v^2+c_l\cdot l_v^2}{\Theta_z}
      \end{bmatrix}
      }_{\underline{A}}
    \cdot
    \underbrace{
      \begin{bmatrix}
        \beta \\[\jot] \dot{\psi}
      \end{bmatrix}
      }_{\underline{x}}
    +
    \underbrace{
      \begin{bmatrix}
        \frac{c_v}{m\cdot v} \\[\jot]
        \frac{c_v\cdot l_v}{\Theta_z}
      \end{bmatrix}
      }_{\underline{B}}
      \cdot
      \underbrace{
        \begin{matrix}
          \smash{\raisebox{-3.5\jot}{$\delta_v$}} \\[2\jot] \strut
        \end{matrix}
      }_{\underline{u}}
  \end{equation}
\end{document}

Thorsten

Text unter mehrere geschweifte Klammern vertikal ausrichten

von Tambo » Do 19. Apr 2012, 11:24

Hallo ihr,

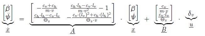
ich habe eine Formel in Zustandsraumdarstellung, das heißt mehrere unterschiedlich hohe Vektoren, Matrizen und Skalare in einer Zeile. Nun habe ich mit dem Befehl
\begin{tabular}{c}
\underbrace{} \\ bla bla
\end{tabular}
die Formel mit geschweiften Klammern versehen, unter die ich nun Text schreiben möchte. Dieser ist leider dann aber nicht vertikal ausgerichtet, da die Klammern unterschiedlich positioniert sind, siehe Anhang und Code:
\begin{equation}
	\begin{tabular}{c} \underbrace{\begin{bmatrix}  \dot{\beta}\\ \ddot{\psi} \end{bmatrix}} \\ \underline {\dot{x}}  \end{tabular} = \begin{tabular}{c} \underbrace{\begin{bmatrix} - \frac{c_v + c_h}{m \cdot v} & \frac{c_h \cdot l_h - c_v \cdot l_v}{m \cdot v^2} -1 \\ \frac{c_h \cdot l_h - c_v \cdot l_v}{\Theta_z} & - \frac{c_v \cdot (l_v)^2 + c_h \cdot (l_h)^2}{\Theta_z \cdot v}  \end{bmatrix}}\\ A \end{tabular} \cdot \begin{tabular}{c} \underbrace{\begin{bmatrix} \beta\\ \dot{\psi} \end{bmatrix}} \\ x \end{tabular} +\begin{tabular}{c} \underbrace{\begin{bmatrix} \frac{c_v}{m \cdot v}  \\ \frac{c_v \cdot l_v}{\Theta_z} \end{bmatrix}} \\ b \end{tabular} \cdot \begin{tabular}{c} \underbrace{\delta_v} \\ u \end{tabular}
		\label{eq:Zstdsr}
\end{equation}
Kann ich erzwingen, dass die Klammern immer an der gleichen vertikalen Stelle sind, damit der Text horizontal bündig ist? Ich müsste sogesehen den vertikalen Offset von Formel und Klammer variabel von der lokalen Formelhöhe gestalten. Habt ihr einen Tipp? Wichtig wäre auch, dass die Operanten wieder in der Formel vertikal mittig sind, wie es der Fall ohne geschweifte Klammern ist.

Danke und viele Grüße,
Andi
Dateianhänge
Zstdsgl..JPG
Zstdsgl..JPG (20.34 KiB) 1809 mal betrachtet

Nach oben