Darstellung Gleichung mit geschweiften Klammern

Antwort erstellen


Diese Frage dient dazu, das automatisierte Versenden von Formularen durch Spam-Bots zu verhindern.
Smilies
:D :) :( :o :shock: :? 8) :lol: :-x :P :oops: :cry: :evil: :twisted: :roll: :wink: :!: :?: :idea: :arrow: :| :mrgreen:

BBCode ist eingeschaltet
[img] ist eingeschaltet
[flash] ist ausgeschaltet
[url] ist eingeschaltet
Smilies sind eingeschaltet

Die letzten Beiträge des Themas

Ich habe die Datenschutzerklärung gelesen und bin damit einverstanden.

   

Wenn du eine Datei oder mehrere Dateien anhängen möchtest, gib die Details unten ein.

Ansicht erweitern Die letzten Beiträge des Themas: Darstellung Gleichung mit geschweiften Klammern

von bloodworks » Do 6. Okt 2011, 15:19

Naja indem du Sie ganz einfach fest definierst. Das sollte aber in jeder LaTeX Einführung zu finden sein. Wenn nicht, dann solltest du eine andere lesen.
\documentclass{report} 
\usepackage{mathtools} 
\begin{document} 

\begin{equation} 
\Omega_{S{it}}^1 \equiv \big\{ \prescript{t}{k=1}{\!\{\mathrm{r_k}\}},   \prescript{t-1}{k=1}{\!\mathrm{\{\Delta x_k \}}}  \big\}
\end{equation} 

\begin{equation} 
\Omega_{S{it}}^2 \equiv \big\{\Omega_{S{it}}^1  \{ 
\end{equation} 

\end{document} 

von MichelF » Do 6. Okt 2011, 15:08

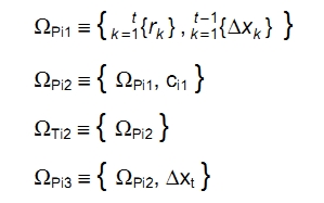
eine Frage habe ich doch noch. WIe kann ich es bewerkstelligen, dass alle geschweiften Klammern aus dem Set gleich groß sind, wenn ich noch mehrere Gleichungen hinzufüge? (Siehe Anhang)

momentan habe ich:
\documentclass{report} 
\usepackage{mathtools} 
\begin{document}

\begin{equation} 
\Omega_{S{it}}^1 \equiv \left\{ \prescript{t}{k=1}{\!\left\{\mathrm{r_k}\right\}},   \prescript{t-1}{k=1}{\!\mathrm{\left\lbrace \Delta x_k \right\}}}  \right\rbrace 
\end{equation} 

\begin{equation} 
\Omega_{S{it}}^2 \equiv \left\{\Omega_{S{it}}^1}  \right\rbrace 
\end{equation} 

\end{document}

Dann sind die geschweiften Klammern bei der 2. Gleichung allerdings angepasst an den Inhalt dieser Gleichung
Dateianhänge
pic2.jpg
pic2.jpg (22.47 KiB) 2444 mal betrachtet

von MichelF » Do 6. Okt 2011, 14:51

Perfekt! Vielen Dank!

von bloodworks » Do 6. Okt 2011, 14:29

Du könntest preskript aus mathtools verwenden.
\documentclass{report}
\usepackage{mathtools}
\begin{document}
\begin{equation}
\Omega_{S{it}}^1=\left\{ \prescript{t}{k=1}{\!\left\{\mathrm{r_k}\right\}}, \prescript{t-1}{k=1}{\!\mathrm{\left\lbrace \Delta x_k \right\}}}  \right\rbrace 
\end{equation} 
\end{document}

Darstellung Gleichung mit geschweiften Klammern

von MichelF » Do 6. Okt 2011, 13:48

Hallo,

ich würde gerne die angehängte Formel in Latex schreiben. Das beste, was ich hinkriegen konnte ist:
\begin{equation}
\Omega_{S{it}}^1=\left\lbrace {}_{k=1}^t\mathrm{\left\lbrace r_k \right\rbrace}, {}_{k=1}^{t-1}\mathrm{\left\lbrace \Delta x_k \right\rbrace}  \right\rbrace 
\end{equation}

Das ist leider aber nicht ganz richtig, vor allem müssten das k=1 und das t näher an dem rt sein. Kann mir jemand helfen?
Dateianhänge
EL2002.jpg
EL2002.jpg (8.68 KiB) 2799 mal betrachtet

Nach oben