von MichelF » Do 6. Okt 2011, 15:08
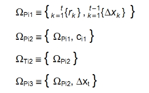
eine Frage habe ich doch noch. WIe kann ich es bewerkstelligen, dass alle geschweiften Klammern aus dem Set gleich groß sind, wenn ich noch mehrere Gleichungen hinzufüge? (Siehe Anhang)
momentan habe ich:
\documentclass{report}
\usepackage{mathtools}
\begin{document}
\begin{equation}
\Omega_{S{it}}^1 \equiv \left\{ \prescript{t}{k=1}{\!\left\{\mathrm{r_k}\right\}}, \prescript{t-1}{k=1}{\!\mathrm{\left\lbrace \Delta x_k \right\}}} \right\rbrace
\end{equation}
\begin{equation}
\Omega_{S{it}}^2 \equiv \left\{\Omega_{S{it}}^1} \right\rbrace
\end{equation}
\end{document}
Dann sind die geschweiften Klammern bei der 2. Gleichung allerdings angepasst an den Inhalt dieser Gleichung
- Dateianhänge
-

- pic2.jpg (22.47 KiB) 2444 mal betrachtet
eine Frage habe ich doch noch. WIe kann ich es bewerkstelligen, dass alle geschweiften Klammern aus dem Set gleich groß sind, wenn ich noch mehrere Gleichungen hinzufüge? (Siehe Anhang)
momentan habe ich:
[code]
\documentclass{report}
\usepackage{mathtools}
\begin{document}
\begin{equation}
\Omega_{S{it}}^1 \equiv \left\{ \prescript{t}{k=1}{\!\left\{\mathrm{r_k}\right\}}, \prescript{t-1}{k=1}{\!\mathrm{\left\lbrace \Delta x_k \right\}}} \right\rbrace
\end{equation}
\begin{equation}
\Omega_{S{it}}^2 \equiv \left\{\Omega_{S{it}}^1} \right\rbrace
\end{equation}
\end{document}
[/code]
Dann sind die geschweiften Klammern bei der 2. Gleichung allerdings angepasst an den Inhalt dieser Gleichung