von Noah Daniel » Mo 29. Mär 2021, 13:00
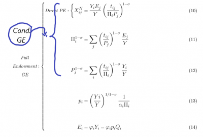
Das folgende Minimalbeispiel sollte optimalerweise das unten dargestellte Gleichungssystem erzeugen, wobei die Nummerierung natürlich abweicht. Wie im Bild angemerkt, würde ich gerne eine weitere geschweifte Klammer mit Text einfügen, habe jedoch sowohl mit numcases als auch raisebox noch nicht das gewünschte Ergebnis erzielen können. Ich freue mich dementsprechend sehr über weitere Vorschläge!
\documentclass{report}
\usepackage{amsmath, amsfonts, amssymb}
\usepackage{relsize}
\usepackage[usestackEOL]{stackengine}
\usepackage{empheq}
\begin{document}
\begin{empheq}[left=\hskip -3.5cm\Centerstack{\em Full \\ \em Endowment \\ \em GE}: \empheqlbrace]{align}
\textit{Direct}\,\, \mathit{PE}: \Biggl\{ \mathlarger{X_{ij}^N} &= \mathlarger{\frac{Y_iE_j}{Y}\left(\frac{t_{ij}}{\Pi_iP_j}\right)^{\mkern-5mu 1-\sigma}} \label{eq:AvW2GE}\\
\nonumber \\
\mathlarger{\Pi_i^{1-\sigma}} &= \mathlarger{\sum_j \left(\frac{t_{ij}}{P_j}\right)^{\mkern-5mu 1-\sigma} \frac{E_j}{Y}} \label{eq:AvW2GE}\\
\nonumber\\
\mathlarger{P_j^{1-\sigma}} &= \mathlarger{\sum_i \left(\frac{t_{ij}}{\Pi_i}\right)^{\mkern-5mu 1-\sigma} \frac{Y_i}{Y}} \label{eq:AvW3GE} \\
\nonumber\\
\mathlarger{p_i} &= \mathlarger{\left(\frac{Yi}{Y}\right)^{1/1-\sigma} \frac{1}{\alpha_i \Pi_i}} \label{eq:AvW4GE} \\
\nonumber\\
\mathlarger{E_i} &= \mathlarger{\varphi_i Y_i} = \mathlarger{\varphi_i p_i Q_i} \label{eq:AvW5GE}
\end{empheq}
\end{document}

Mit den besten Grüßen,
Noah
P.S.: Ist es normal, dass im Code "^" und "_" plötzlich zu "*" werden, wenn ich den Post absende?
Das folgende Minimalbeispiel sollte optimalerweise das unten dargestellte Gleichungssystem erzeugen, wobei die Nummerierung natürlich abweicht. Wie im Bild angemerkt, würde ich gerne eine weitere geschweifte Klammer mit Text einfügen, habe jedoch sowohl mit numcases als auch raisebox noch nicht das gewünschte Ergebnis erzielen können. Ich freue mich dementsprechend sehr über weitere Vorschläge!
[code]
\documentclass{report}
\usepackage{amsmath, amsfonts, amssymb}
\usepackage{relsize}
\usepackage[usestackEOL]{stackengine}
\usepackage{empheq}
\begin{document}
\begin{empheq}[left=\hskip -3.5cm\Centerstack{\em Full \\ \em Endowment \\ \em GE}: \empheqlbrace]{align}
\textit{Direct}\,\, \mathit{PE}: \Biggl\{ \mathlarger{X_{ij}^N} &= \mathlarger{\frac{Y_iE_j}{Y}\left(\frac{t_{ij}}{\Pi_iP_j}\right)^{\mkern-5mu 1-\sigma}} \label{eq:AvW2GE}\\
\nonumber \\
\mathlarger{\Pi_i^{1-\sigma}} &= \mathlarger{\sum_j \left(\frac{t_{ij}}{P_j}\right)^{\mkern-5mu 1-\sigma} \frac{E_j}{Y}} \label{eq:AvW2GE}\\
\nonumber\\
\mathlarger{P_j^{1-\sigma}} &= \mathlarger{\sum_i \left(\frac{t_{ij}}{\Pi_i}\right)^{\mkern-5mu 1-\sigma} \frac{Y_i}{Y}} \label{eq:AvW3GE} \\
\nonumber\\
\mathlarger{p_i} &= \mathlarger{\left(\frac{Yi}{Y}\right)^{1/1-\sigma} \frac{1}{\alpha_i \Pi_i}} \label{eq:AvW4GE} \\
\nonumber\\
\mathlarger{E_i} &= \mathlarger{\varphi_i Y_i} = \mathlarger{\varphi_i p_i Q_i} \label{eq:AvW5GE}
\end{empheq}
\end{document}
[/code]
[attachment=0]GE Model.png[/attachment]
Mit den besten Grüßen,
Noah
P.S.: Ist es normal, dass im Code "^" und "_" plötzlich zu "*" werden, wenn ich den Post absende?