Mehrzeilige geschweifte Klammer in Align

Antwort erstellen


Diese Frage dient dazu, das automatisierte Versenden von Formularen durch Spam-Bots zu verhindern.
Smilies
:D :) :( :o :shock: :? 8) :lol: :-x :P :oops: :cry: :evil: :twisted: :roll: :wink: :!: :?: :idea: :arrow: :| :mrgreen:

BBCode ist eingeschaltet
[img] ist eingeschaltet
[flash] ist ausgeschaltet
[url] ist eingeschaltet
Smilies sind eingeschaltet

Die letzten Beiträge des Themas

Ich habe die Datenschutzerklärung gelesen und bin damit einverstanden.

   

Wenn du eine Datei oder mehrere Dateien anhängen möchtest, gib die Details unten ein.

Ansicht erweitern Die letzten Beiträge des Themas: Mehrzeilige geschweifte Klammer in Align

Re: Mehrzeilige geschweifte Klammer in Align

von Noah Daniel » Mi 31. Mär 2021, 11:37

Hallo Bartman,

vielen Dank für deinen Vorschlag. Das sieht schon wirklich super aus!
Wäre es noch möglich, an der Spitze der geschweiften Klammer einen nicht-kursiven Doppelpunkt einzufügen, sodass die Beschriftung genau wie bei den anderen beiden Klammern erscheint?

Gruß,
Noah

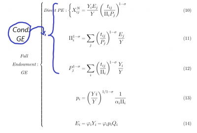
EDIT: Das gewünschte Ergebnis kann wie folgt gelöst werden:

[...]
  (upper left.west|-upper right.north) -- 
    node [font=\sffamily\large, align=center, left=5pt] {\Centerstack{\emph{Cond.}\\ \emph{GE}}:}
  (upper left.west|-lower.south)
[...]

Re: Mehrzeilige geschweifte Klammer in Align

von Bartman » Di 30. Mär 2021, 18:37

Ich habe mir erlaubt, die Anordnung der Klammern etwas zu verschieben, um die Überschneidung mit der Beschriftung der oberen Klammer zu vermeiden. Natürlich lässt sich die Klammer mit TikZ auch so einfügen, wie es die Abbildung zeigt.

\documentclass{report}
\usepackage{mathtools}% lädt amsmath
\usepackage{amssymb}% lädt amsfonts
\usepackage{relsize}
\usepackage[usestackEOL]{stackengine} 
\usepackage{empheq}
\usepackage{tikz}
\usepackage{showframe}

\usetikzlibrary{decorations.pathreplacing,tikzmark}

\begin{document}
\begin{empheq}[left=\hspace{-1cm}\Centerstack{\emph{Full}\\\emph{Endowment}\\\emph{GE}}: \empheqlbrace]{align}
  \hspace{1.6cm}\tikzmarknode{upper left}{\textit{Direct}}\,\,\mathit{PE}: 
  \Biggl\{ \mathlarger{X{ij}N} &= \mathlarger{\tikzmarknode{upper right}{\frac{Y_iE_j}{Y}} \left(\frac{t{ij}}{\Pi_iP_j}\right)^{\mkern-5mu 1-\sigma}} \label{eq:AvW2GE}\\
    \nonumber \\
    \mathlarger{\Pi_i^{1-\sigma}} &= \mathlarger{\sum_j \left(\frac{t{ij}}{P_j}\right)^{\mkern-5mu 1-\sigma} \frac{E_j}{Y}} \label{eq:AvW2GE}\\
    \nonumber\\
    \mathlarger{P_j^{1-\sigma}} &= \mathlarger{\tikzmarknode{lower}{\sum_i} \left(\frac{t{ij}}{\Pi_i}\right)^{\mkern-5mu 1-\sigma} \frac{Y_i}{Y}} \label{eq:AvW3GE} \\
    \nonumber\\
    \mathlarger{p_i} &= \mathlarger{\left(\frac{Yi}{Y}\right)^{1/1-\sigma} \frac{1}{\alpha_i \Pi_i}} \label{eq:AvW4GE} \\
    \nonumber\\
    \mathlarger{E_i} &= \mathlarger{\varphi_i Y_i} = \mathlarger{\varphi_i p_i Q_i} \label{eq:AvW5GE}
\end{empheq}
\begin{tikzpicture}[overlay, remember picture]
\draw [
  decorate, 
  decoration={brace, mirror, amplitude=5pt}, 
  very thick,
  transform canvas={xshift=-2pt}
]
  (upper left.west|-upper right.north) -- 
    node [font=\sffamily\itshape\large, align=center, left=8pt] {Cond.\\GE} 
  (upper left.west|-lower.south)
;
\end{tikzpicture}
\end{document}

Re: Mehrzeilige geschweifte Klammer in Align

von Noah Daniel » Di 30. Mär 2021, 16:51

Hallo Stefan, daran hatte ich auch schon gedacht, habe TikZ allerdings noch nie ausprobiert. Falls du nach deiner Arbeit die Zeit finden solltest, wäre ich dir sehr verbunden!

Gruß,
Noah

Re: Mehrzeilige geschweifte Klammer in Align

von Stefan Kottwitz » Di 30. Mär 2021, 13:44

Mit TikZ geht sowas auch immer ;-) ich kann vllt. was hier posten wenn ich mit der normalen Arbeit durch bin.

Stefan

Re: Mehrzeilige geschweifte Klammer in Align

von Noah Daniel » Di 30. Mär 2021, 13:37

Okay, danke schonmal, Stefan!

Re: Mehrzeilige geschweifte Klammer in Align

von Stefan Kottwitz » Mo 29. Mär 2021, 14:30

Hallo Noah,

das mit ^ und _ schaue ich mir an, das ist Markdown-Formatierungs-Syntax, die evtl. unerwartet greift.
Das kann man durch einen Haken unter dem Post abstellen (ich mach mal oben). Ich schaue mir das aber heute generell an.

Stefan

Mehrzeilige geschweifte Klammer in Align

von Noah Daniel » Mo 29. Mär 2021, 13:00

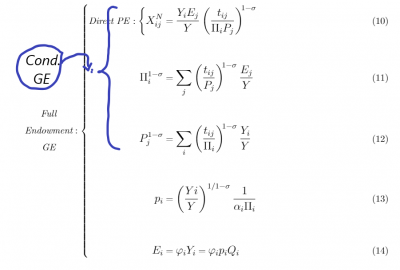
Das folgende Minimalbeispiel sollte optimalerweise das unten dargestellte Gleichungssystem erzeugen, wobei die Nummerierung natürlich abweicht. Wie im Bild angemerkt, würde ich gerne eine weitere geschweifte Klammer mit Text einfügen, habe jedoch sowohl mit numcases als auch raisebox noch nicht das gewünschte Ergebnis erzielen können. Ich freue mich dementsprechend sehr über weitere Vorschläge!

\documentclass{report}
\usepackage{amsmath, amsfonts, amssymb}
\usepackage{relsize}
\usepackage[usestackEOL]{stackengine} 
\usepackage{empheq}

\begin{document}

\begin{empheq}[left=\hskip -3.5cm\Centerstack{\em Full \\ \em Endowment \\ \em GE}: \empheqlbrace]{align}
  \textit{Direct}\,\, \mathit{PE}: \Biggl\{ \mathlarger{X_{ij}^N} &= \mathlarger{\frac{Y_iE_j}{Y}\left(\frac{t_{ij}}{\Pi_iP_j}\right)^{\mkern-5mu 1-\sigma}} \label{eq:AvW2GE}\\
    \nonumber \\
    \mathlarger{\Pi_i^{1-\sigma}} &= \mathlarger{\sum_j \left(\frac{t_{ij}}{P_j}\right)^{\mkern-5mu 1-\sigma} \frac{E_j}{Y}} \label{eq:AvW2GE}\\
    \nonumber\\
    \mathlarger{P_j^{1-\sigma}} &= \mathlarger{\sum_i \left(\frac{t_{ij}}{\Pi_i}\right)^{\mkern-5mu 1-\sigma} \frac{Y_i}{Y}} \label{eq:AvW3GE} \\
    \nonumber\\
    \mathlarger{p_i} &= \mathlarger{\left(\frac{Yi}{Y}\right)^{1/1-\sigma} \frac{1}{\alpha_i \Pi_i}} \label{eq:AvW4GE} \\
    \nonumber\\
    \mathlarger{E_i} &= \mathlarger{\varphi_i Y_i} = \mathlarger{\varphi_i p_i Q_i} \label{eq:AvW5GE}
\end{empheq}

\end{document}
GE Model.png

Mit den besten Grüßen,
Noah

P.S.: Ist es normal, dass im Code "^" und "_" plötzlich zu "*" werden, wenn ich den Post absende?


Nach oben