Formel mit 2 Kriterien

Antwort erstellen


Diese Frage dient dazu, das automatisierte Versenden von Formularen durch Spam-Bots zu verhindern.
Smilies
:D :) :( :o :shock: :? 8) :lol: :-x :P :oops: :cry: :evil: :twisted: :roll: :wink: :!: :?: :idea: :arrow: :| :mrgreen:

BBCode ist eingeschaltet
[img] ist eingeschaltet
[flash] ist ausgeschaltet
[url] ist eingeschaltet
Smilies sind eingeschaltet

Die letzten Beiträge des Themas

Ich habe die Datenschutzerklärung gelesen und bin damit einverstanden.

   

Wenn du eine Datei oder mehrere Dateien anhängen möchtest, gib die Details unten ein.

Ansicht erweitern Die letzten Beiträge des Themas: Formel mit 2 Kriterien

von KOMA » Fr 19. Jun 2009, 18:02

Dann solltest Du den Status anpassen.

BTW: Im Mathematik-Forum steht prinzipiell das gleiche Thema nur eine Hand breit unter Deinem Thema.

Markus
(Moderator)

von Hingen1304 » Fr 19. Jun 2009, 15:10

Danke,

funktioniert einwandfrei

MfG,

Hingen1304

von phi » Fr 19. Jun 2009, 13:35

Hallo,

die cases-Umgebung sollte das Gewünschte leisten, siehe AMS-LaTeX-Handbuch (amsldoc.pdf).

Formel mit 2 Kriterien

von Hingen1304 » Fr 19. Jun 2009, 11:32

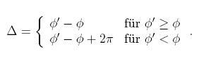
Hallo ich bin neu hier und beschäftige mich seit 2 Wochen mit Latex und es geht auch sehr gut.

Aber jetzt steh ich vor einer Herausforderung. Wie kann ich die Formel, siehe .jpg im Anhang, in Latex schreiben.

Kann leider weder in Goggle noch in der Hilfe was finden.

Vielen Dank

Hingen1304
Dateianhänge
Formel Latex Forum.JPG
Formel Latex Forum.JPG (3.74 KiB) 2526 mal betrachtet

Nach oben