von Zoid » Mi 29. Sep 2021, 13:02
Moin moin,
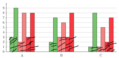
ich würde gerne ein Diagramm erstellen, indem ich mittels schwebenden Säulen bestimmte Wertebereiche in Gruppen anzeigen kann. Dabei habe ich Teil A,B,C welche unterschiedliche Merkmale in X,Y,Z aufweisen. Die schwebenden Säulen sollen dabei zwischen dem Minimum(y-) und Maximum(y+) verlaufen, beim Mittelwert(yo) eine Linie aufweisen, sowie ebenfalls nach Teil A,B,C gruppiert werden.
Ich habe leider keine Beispiele für schwebende Säulen in einem Balkendiagramm gefunden. Mein bisheriger Code sieht aktuell so aus, ist aber noch nicht sehr zielführend.
\documentclass[english,12pt,a4paper]{scrreprt}
\usepackage{biblatex} % Geht nicht ohne. Warum auch immer ...
\usepackage{color, colortbl} % Tabelle Zeilen oder Spalten Hintergrundfarbe
\usepackage{tikz}
\usepackage{pgfplots}
\pgfplotsset{compat=1.18}
\begin{document}
\chapter{Chapter}
\begin{figure}[htb]
\centering
\begin{tikzpicture}
\pgfmathsetlengthmacro\balkenbreite{20mm}
\definecolor{X}{HTML}{75C36C}
\definecolor{Y}{HTML}{F78181}
\definecolor{Z}{HTML}{F83940}
\pgfplotstableread[col sep=comma]{
x, yX-, yXo, yX+, yY-, yYo, yY+, yZ-, yZo, yZ+
1, 3, 5, 9, 2, 4, 8, 3, 6, 8
2, 2, 3, 7, 3, 4, 6, 3, 6, 8
3, 1, 4, 8, 1, 3, 5, 2, 4, 7
}\data
\begin{axis}[
width=15cm,
height=7.5cm,
axis x line=bottom,
axis y line=left,
ybar,
xtick={data},
xticklabels={A,B,C},
ymin=0,
ymax=10,
ytick={0,1,2,3,4,5,6,7,8,9},
enlarge x limits=0.2,
ymajorgrids
]
\addplot [fill=X,bar shift=-0.625\balkenbreite,bar width=0.25\balkenbreite,font=\footnotesize] table [y=yX-] {\data};
\addplot [fill=X,bar shift=-0.375\balkenbreite,bar width=0.25\balkenbreite,font=\footnotesize] table [y=yX+] {\data};
\addplot [fill=Y,bar shift=-0.125\balkenbreite,bar width=0.25\balkenbreite,font=\footnotesize] table [y=yY-] {\data};
\addplot [fill=Y,bar shift=0.125\balkenbreite,bar width=0.25\balkenbreite,font=\footnotesize] table [y=yY+] {\data};
\addplot [fill=Z,bar shift=0.375\balkenbreite,bar width=0.25\balkenbreite,font=\footnotesize] table [y=yZ-] {\data};
\addplot [fill=Z,bar shift=0.625\balkenbreite,bar width=0.25*\balkenbreite,font=\footnotesize] table [y=yZ+] {\data};
\end{axis}
\end{tikzpicture}
\caption{Caption}
\label{fig:p5}
\end{figure}
\end{document}

Den schwarz gestrichelten Bereich hätte ich gerne weg und halt noch eine Linie für "yo" eingezeichnet. Die Säulen bekomme ich dann schon noch zusammengeschoben
Jemand Ideen, wo ich da nachlesen könnte bzw. wie ich das umsetzen könnte?
Vielen Dank und viele Grüße 
Moin moin,
ich würde gerne ein Diagramm erstellen, indem ich mittels schwebenden Säulen bestimmte Wertebereiche in Gruppen anzeigen kann. Dabei habe ich Teil A,B,C welche unterschiedliche Merkmale in X,Y,Z aufweisen. Die schwebenden Säulen sollen dabei zwischen dem Minimum(y-) und Maximum(y+) verlaufen, beim Mittelwert(yo) eine Linie aufweisen, sowie ebenfalls nach Teil A,B,C gruppiert werden.
Ich habe leider keine Beispiele für schwebende Säulen in einem Balkendiagramm gefunden. Mein bisheriger Code sieht aktuell so aus, ist aber noch nicht sehr zielführend.
[code]
\documentclass[english,12pt,a4paper]{scrreprt}
\usepackage{biblatex} % Geht nicht ohne. Warum auch immer ...
\usepackage{color, colortbl} % Tabelle Zeilen oder Spalten Hintergrundfarbe
\usepackage{tikz}
\usepackage{pgfplots}
\pgfplotsset{compat=1.18}
\begin{document}
\chapter{Chapter}
\begin{figure}[htb]
\centering
\begin{tikzpicture}
\pgfmathsetlengthmacro\balkenbreite{20mm}
\definecolor{X}{HTML}{75C36C}
\definecolor{Y}{HTML}{F78181}
\definecolor{Z}{HTML}{F83940}
\pgfplotstableread[col sep=comma]{
x, yX-, yXo, yX+, yY-, yYo, yY+, yZ-, yZo, yZ+
1, 3, 5, 9, 2, 4, 8, 3, 6, 8
2, 2, 3, 7, 3, 4, 6, 3, 6, 8
3, 1, 4, 8, 1, 3, 5, 2, 4, 7
}\data
\begin{axis}[
width=15cm,
height=7.5cm,
axis x line*=bottom,
axis y line=left,
ybar,
xtick={data},
xticklabels={A,B,C},
ymin=0,
ymax=10,
ytick={0,1,2,3,4,5,6,7,8,9},
enlarge x limits=0.2,
ymajorgrids
]
\addplot [fill=X,bar shift=-0.625*\balkenbreite,bar width=0.25*\balkenbreite,font=\footnotesize] table [y=yX-] {\data};
\addplot [fill=X,bar shift=-0.375*\balkenbreite,bar width=0.25*\balkenbreite,font=\footnotesize] table [y=yX+] {\data};
\addplot [fill=Y,bar shift=-0.125*\balkenbreite,bar width=0.25*\balkenbreite,font=\footnotesize] table [y=yY-] {\data};
\addplot [fill=Y,bar shift=0.125*\balkenbreite,bar width=0.25*\balkenbreite,font=\footnotesize] table [y=yY+] {\data};
\addplot [fill=Z,bar shift=0.375*\balkenbreite,bar width=0.25*\balkenbreite,font=\footnotesize] table [y=yZ-] {\data};
\addplot [fill=Z,bar shift=0.625*\balkenbreite,bar width=0.25*\balkenbreite,font=\footnotesize] table [y=yZ+] {\data};
\end{axis}
\end{tikzpicture}
\caption{Caption}
\label{fig:p5}
\end{figure}
\end{document}
[/code]
[attachment=0]T1.PNG[/attachment]
Den schwarz gestrichelten Bereich hätte ich gerne weg und halt noch eine Linie für "yo" eingezeichnet. Die Säulen bekomme ich dann schon noch zusammengeschoben
Jemand Ideen, wo ich da nachlesen könnte bzw. wie ich das umsetzen könnte?
Vielen Dank und viele Grüße :D