von JGA » Di 19. Mai 2020, 09:46
Hallo,
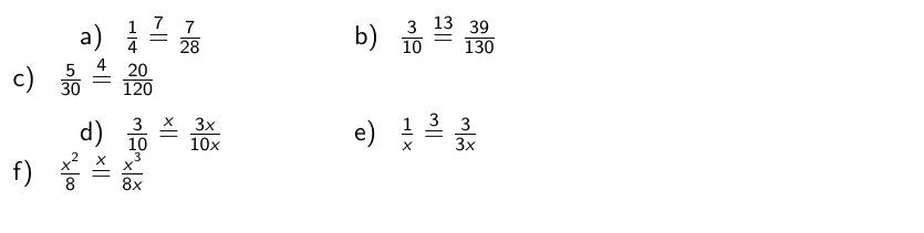
ich möchte in der Beamer-Class das Package tasks (https://www.ctan.org/pkg/tasks) zum Einsatz bringen, leider funktioniert das nur für bestimmte Spaltenzahlen. Während (2) und (3) Spalten den unten abgebildeten seltsamen Zeilenumbruch hervorrufen, sieht bei (4) Spalten alles wie vorgesehen aus, ein Platzproblem ist also eigentlich ausgeschlossen.
In der Dokumentklasse "article" funktionieren alle Spaltendarstellungen wie vorgesehen.
Ein Workaround ist, die Spaltenzahl auf 4 zu setzen und dann jedem dritten Task mit \task*(2) zwei Spalten zuzuweisen, aber das ist ziemlich unbefriedigend.
Für Lösungen des Problems oder kurze Erklärungen der Ursache wäre ich sehr dankbar.
Viele Grüße
Jörg
\documentclass[10pt, t, ngerman]{beamer}
\usepackage{tasks}
\begin{document}
\frame{
\begin{tasks}(3)
\task \ $\frac{1}{4} \stackrel{7}{=} \uncover<2->{\frac7{28}}$
\task \ $\frac{3}{10} \stackrel{13}{=} \uncover<3->{\frac{39}{130}}$
\task \ $\frac{5}{30} \stackrel{4}{=} \uncover<4->{\frac{20}{120}}$
\task \ $\frac{3}{10} \stackrel{x}{=} \uncover<5->{\frac{3x}{10x}}$
\task \ $\frac{1}{x} \stackrel{3}{=} \uncover<6->{\frac{3}{3x}}$
\task \ $\frac{x^2}{8} \stackrel{x}{=} \uncover<7->{\frac{x^3}{8x}}$
\end{tasks}
}
\end{document}

- BeamerTasts.png (6.85 KiB) 3867 mal betrachtet
Hallo,
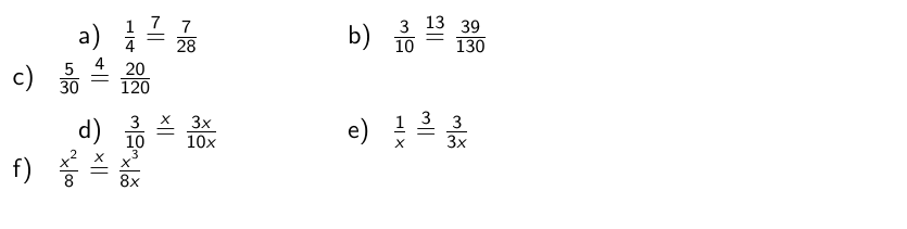
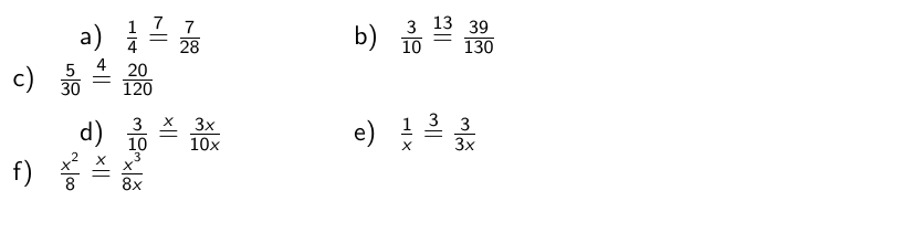
ich möchte in der Beamer-Class das Package tasks (https://www.ctan.org/pkg/tasks) zum Einsatz bringen, leider funktioniert das nur für bestimmte Spaltenzahlen. Während (2) und (3) Spalten den unten abgebildeten seltsamen Zeilenumbruch hervorrufen, sieht bei (4) Spalten alles wie vorgesehen aus, ein Platzproblem ist also eigentlich ausgeschlossen.
In der Dokumentklasse "article" funktionieren alle Spaltendarstellungen wie vorgesehen.
Ein Workaround ist, die Spaltenzahl auf 4 zu setzen und dann jedem dritten Task mit \task*(2) zwei Spalten zuzuweisen, aber das ist ziemlich unbefriedigend.
Für Lösungen des Problems oder kurze Erklärungen der Ursache wäre ich sehr dankbar.
Viele Grüße
Jörg
[code]\documentclass[10pt, t, ngerman]{beamer}
\usepackage{tasks}
\begin{document}
\frame{
\begin{tasks}(3)
\task \ $\frac{1}{4} \stackrel{7}{=} \uncover<2->{\frac7{28}}$
\task \ $\frac{3}{10} \stackrel{13}{=} \uncover<3->{\frac{39}{130}}$
\task \ $\frac{5}{30} \stackrel{4}{=} \uncover<4->{\frac{20}{120}}$
\task \ $\frac{3}{10} \stackrel{x}{=} \uncover<5->{\frac{3x}{10x}}$
\task \ $\frac{1}{x} \stackrel{3}{=} \uncover<6->{\frac{3}{3x}}$
\task \ $\frac{x^2}{8} \stackrel{x}{=} \uncover<7->{\frac{x^3}{8x}}$
\end{tasks}
}
\end{document}[/code]
[attachment=0]BeamerTasts.png[/attachment]